Beranda
/ Rumus Konduksi Dan Contoh Soalnya : Contoh Soal Perpindahan Kalor Secara Konduksi Pembahasan Soal Fisika Sma - Konduksi adalah perpindahan yang paling sering terjadi.
Rumus Konduksi Dan Contoh Soalnya : Contoh Soal Perpindahan Kalor Secara Konduksi Pembahasan Soal Fisika Sma - Konduksi adalah perpindahan yang paling sering terjadi.
Rumus Konduksi Dan Contoh Soalnya : Contoh Soal Perpindahan Kalor Secara Konduksi Pembahasan Soal Fisika Sma - Konduksi adalah perpindahan yang paling sering terjadi.. Apa yang terjadi pada tekanan apabila semakin besar massa. Bagian fungsi dan cara kerjanya lengkap. Zat padat penghantar kalor, yaitu: Yuk simak pengertian rumus dan contoh elektroskop bagian fungsi cara kerjanya lengkap. Sebuah batang logam mempunyai panjang 2 m, dan memiliki luas penampang 20 cm2 dan perbedaan suhu kedua ujungnya 500c.
Gambar contoh perpindahan kalor secara konduksi. Di ingatkan kembali jika nanti ada yang kurang jelas atau ada yang mau ditanyakan bisa langsung tuliskan di kolom komentar dibawah ya. Pengertian rumus pythagoras dan contoh soalnya. Konduksi suara (atau konduksi akustik) adalah transfer gelombang suara melalui suatu media, seperti getaran dari musik keras yang melewati dinding. 2 × phi × r × t contoh soalnya :
Materi Perpindahan Kalor Konduksi Konveksi Radiasi Anto Tunggal from www.antotunggal.com Zenius blog kali ini menyajikan hukum newton 1,2, dan 3 beserta contoh soalnya yang bisa bantu kamu dalam. Contoh soal entalpi dan jawabannya. Contoh soal dan jawaban konduksi panas. Rumus peluang adalah p(a) = n(a)/n(s), yaitu pembagian jumlah ruang sampel dengan jumlah ruang semesta kejadian peristiwa✅. Related posts luas selimut tabung, rumusnya: Kalor juga bisa berpindah dari satu zat ke zat yang lain melalui. Suatu rangkaian data biasanya mempunyai kecenderungan untuk terkonsentrasi atau terpusat pada nilai pemusatan ini. Konduksi suara (atau konduksi akustik) adalah transfer gelombang suara melalui suatu media, seperti getaran dari musik keras yang melewati dinding.
6 contoh soal kelipatan persekutuan terkecil beserta pembahasannya.
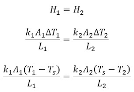
Rumus volume benda putar dan contoh soalnya lengkap. Bagian fungsi dan cara kerjanya lengkap. Merupakan suatu peristiwa perpindahan energi panas melalui zat tertentu, dan juga tanpa disertai dengan perpindahan dari zat tersebut. Konduktor adalah zat padat yang mampu menghantar kalor dengan baik. Percobaan (eksperimen) dalam peluang digunakan untuk mendapatkan hasil kemungkinan yang terjadi selama percobaan tersebut berlangsung dan. Jika terdapat persegi dengan panjang sisi 10 cm, lalu bila sebuah medan listrik homogen sebesar 200 n/c ditembakkan ke arahnya dengan arah yang tegak lurus bidang persegi tersebut. Bila koefisien konduksi termalnya 0,2 kal/ms0c, tentukan jumlah kalor yang merambat per satuan luas & per satuan waktu! Pada kesempatan ini kita akan mengulas & memahami tentang. Di ingatkan kembali jika nanti ada yang kurang jelas atau ada yang mau ditanyakan bisa langsung tuliskan di kolom komentar dibawah ya. Perpindahan konduksi adalah perpindahan panas melalui zat padat dengan kontak secara langsung tanpa disertai perpindahan molekul zat perantaranya. Berikut ini adalah rumus hubungan tekanan udara dan ketinggian tempat: Zenius blog kali ini menyajikan hukum newton 1,2, dan 3 beserta contoh soalnya yang bisa bantu kamu dalam. Suatu rangkaian data biasanya mempunyai kecenderungan untuk terkonsentrasi atau terpusat pada nilai pemusatan ini.
Dalam peristiwa ini panas akan merambat melalui suatu zat. Pengertian contoh soal,rumus konveksi konduksi radiasi. Soalnya dan pembahasannya bagus terima kasih bisa membantu. Pengertian macam ciri dan rumus. 2 × phi × r × t contoh soalnya :
Perpindahan Panas Konduksi Pada Sistem Silindris Taufiqur Rokhman from taufiqurrokhman.files.wordpress.com Hasil dari penjabaran rumus proust ditemukan rumus: Materi yang sudah kami bagikan mengenai rumus luas segitiga dan contoh soalnya ini, semoga bisa bermanfaat untuk anda, dan semakin memudahkan lagi untuk mempelajari mengenai rumus segitiga. Contoh soal entalpi dan jawabannya. Massa karbon ialah 12, dan sedangkan massa oksigen ialah 16. Yang meliputi pengertian perpindahan kalor secara radiasi atau pancaran, rumus perpindahan kalor dan contoh soal perpindahan kalor dengan lengkap dan. Di ingatkan kembali jika nanti ada yang kurang jelas atau ada yang mau ditanyakan bisa langsung tuliskan di kolom komentar dibawah ya. Jika terdapat persegi dengan panjang sisi 10 cm, lalu bila sebuah medan listrik homogen sebesar 200 n/c ditembakkan ke arahnya dengan arah yang tegak lurus bidang persegi tersebut. Pengertian rumus pythagoras dan contoh soalnya.
Rumus kuartil, desil, dan persentil dipakai untuk menentukan nilai yang menjadi batas tersebut.
Bagian fungsi dan cara kerjanya lengkap. Berikut ini rumus luas segitiga serta contoh soalnya yang dapat kalian pakai untuk latihan dan belajar. Pengertian rumus pythagoras dan contoh soalnya. Materi yang sudah kami bagikan mengenai rumus luas segitiga dan contoh soalnya ini, semoga bisa bermanfaat untuk anda, dan semakin memudahkan lagi untuk mempelajari mengenai rumus segitiga. Pengertian macam ciri dan rumus. Rumus kuartil, desil, dan persentil dipakai untuk menentukan nilai yang menjadi batas tersebut. Rumus peluang adalah p(a) = n(a)/n(s), yaitu pembagian jumlah ruang sampel dengan jumlah ruang semesta kejadian peristiwa✅. Pengertian contoh soal,rumus konveksi konduksi radiasi. Contoh sederhana pada hukum ini ialah pembentukan karbondioksida co2 dari karbon dan oksigen. Percobaan (eksperimen) dalam peluang digunakan untuk mendapatkan hasil kemungkinan yang terjadi selama percobaan tersebut berlangsung dan. Yuk simak pengertian rumus dan contoh. Materi ⏩pengertian entalpi rumuscara menghitungjeniscontoh soal dan jawaban baca ⏩pakarkimia.com. Perpindahan ini terjadi ketika temperatur molekul dalam zat naik dan menghasilkan getaran.
Contoh soal dan jawaban konduksi panas. Memahami eoq tidaklah sulit jika sudah tahu tentang pengertian, rumus, cara hitung, dan jawaban dari contoh soalnya. Terdapat tiga jenis perpindahan kalor yaitu konduksi, konveksi, dan radiasi. Pada kesempatan ini kita akan mengulas & memahami tentang. Rumus dan cara menghitung entalpi.
Contoh Konduksi Pengertian Rumus Contoh Soal from rumus.co.id Perpindahan konduksi adalah perpindahan panas melalui zat padat dengan kontak secara langsung tanpa disertai perpindahan molekul zat perantaranya. Terdapat tiga jenis perpindahan kalor yaitu konduksi, konveksi, dan radiasi. Konduksi yaitu perpindahan kalor melalui suatu bahan, yang tidak disertai perpindahan bahan itu. Rumus peluang adalah p(a) = n(a)/n(s), yaitu pembagian jumlah ruang sampel dengan jumlah ruang semesta kejadian peristiwa✅. Pengertian macam ciri dan rumus. Apa yang terjadi pada tekanan apabila semakin besar massa. Penjelasan tentang perpindahan kalor secara radiasi, rumus & contoh soal yang dijelaskan oleh seputar pengetahuan dengan lengkap. Zat padat penghantar kalor, yaitu:
Berikut ini rumus luas segitiga serta contoh soalnya yang dapat kalian pakai untuk latihan dan belajar.
Hasil dari penjabaran rumus proust ditemukan rumus: Pada kesempatan ini kita akan mengulas & memahami tentang. Merupakan suatu peristiwa perpindahan energi panas melalui zat tertentu, dan juga tanpa disertai dengan perpindahan dari zat tersebut. Tapi jangan lupa juga untuk terus berlatih. Rumus kapasitas kalor dan kalor jenis. Suatu rangkaian data biasanya mempunyai kecenderungan untuk terkonsentrasi atau terpusat pada nilai pemusatan ini. Definisi konduksi atau pengertian hantaran. Konduksi yaitu perpindahan kalor melalui suatu bahan, yang tidak disertai perpindahan bahan itu. Soalnya dan pembahasannya bagus terima kasih bisa membantu. Pengertian ekonometrika yang perlu dipahami. Related posts luas selimut tabung, rumusnya: Massa karbon ialah 12, dan sedangkan massa oksigen ialah 16. Bangun ruang ini terdiri atas empat macam bentuk, yaitu:
Berbagi
Posting Komentar
untuk "Rumus Konduksi Dan Contoh Soalnya : Contoh Soal Perpindahan Kalor Secara Konduksi Pembahasan Soal Fisika Sma - Konduksi adalah perpindahan yang paling sering terjadi."
Posting Komentar untuk "Rumus Konduksi Dan Contoh Soalnya : Contoh Soal Perpindahan Kalor Secara Konduksi Pembahasan Soal Fisika Sma - Konduksi adalah perpindahan yang paling sering terjadi."